2020. 8. 13. 15:12ㆍDeepLearning
-
Title: The Unreasonable Effectiveness of Deep Features as a Perceptual Metric
-
Authors: Richard Zhang(1), Phillip Isola(1,2), Alexei A. Efros(1), Eli Shechtman(3), Oliver Wang(3)
-
Affiliation: UC Berkeley(1), OpenAI(2), Adobe Research(3)
-
Official Code: Link
-
Summary
- PROBLEM STATEMENT: Evaluate how well metrics correspond with human perceptual judgments.
- Collect a large-scale perceptual similarity dataset
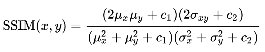
- Deep features across training objectives outperform widely-used perceptual metrics (e.g., SSIM)
- Show all types of deep features outperforms traditional metrics
- Train new metric (LPIPS) on perceptual judgments
- It has found that Alexnet is the best for perceptual similarity!
- Show network architecture alone doesn't account for the performance
- Train new metric (LPIPS) on perceptual judgements
- Improve performance by calibrating feature response from a pre-trained network
- Different levels of supervision (supervised, self-supervised, and unsupervised)을 비교
- PROBLEM STATEMENT: Evaluate how well metrics correspond with human perceptual judgments.
-
참고할만한 자료
Introduction
"Perceptual losses"? What elements are critical for their success?
고전적인 접근법은 아래와 같다.
- Per-pixel measures
- L2 Euclidean distance
- Peak Signal-to-Noise Ratio (PSNR)
- 일반적으로 per-pixel metric은 blurring을 초래한다.

- Perceptual distance
- 두 이미지 사이의 유사성을 판단할 때, 사람의 인지 능력과 유사하도록 개발된 metric
- Examples: SSIM, MSSIM, FSIM, and HDR-VDP
- SSIM and FSIM were not designed to handle situations where *_spatial ambiguities *_are a factor.


하지만 인간이 갖고 있는 다양한 nuances를 담지 못한다는 단점이 있다. 인간의 인지(perceptual)은 매우 주관적이며, 추상적인 개념이다. 사람은 두 이미지의 유사성을 어떻게 판단할까?
- 고차원의 이미지 구조를 통해 (high-order image structure)
- 문맥을 통해 판단 (context-dependent)
- 사실 우리는 "distance metric"이라는 개념을 도입하지 않는 것일 수도 있다.
예를 들어,
"빨간 원은 1)빨간 직사각형과 2) 파란 원, 둘 중 어느 것에 더 가까운가(유사한가)?" 라는 질문에 대한 답은 문맥에 따라 다르며 정량적으로 나타낼 수 없는 특성 때문에 intractable 하다.
최근 딥러닝 커뮤니티에서 internal activations of deep convolutional networks, 특히 VGG를 사용하면 다양한 상황에 대해서 "perceptual loss"로 사용 될 수 있음을 확인하였다.
Perceptual loss 에 대해서 탐구하면서 본 논문은 아래 질문들에 대하여 답을 구한다.
-
"perceptual losses"라는 것들이 실제 사람의 시각 인지와 부합하는가?
-
다른 metric들과 어떻게 비교할 것인가?
- 새로운 데이터셋 제시
-
Deep feature를 사용할 때, network의 구조가 중요한가?
- No!
- VGG / Alex / Squeeze 를 비교해보면 네트워크 구조에 무관하게 인간의 시각 인지 능력과 부합한다.
- No!
-
어떤 task에서 네트워크를 학습하는 게 좋은가? 그리고 애초에 학습이 필요하긴 한가?
- An emergent property shared across networks, even across architectures and training signals
- ImageNet classification 문제 외에도 다양한 방법이 가능하다.
- self-supervised도 잘 동작한다.
- BiGAN, channel prediction, and puzzle solving
- 간단한 비지도학습 네트워크 초기화 방법 (ex. stacked k-means)이면 고전 perceptual loss보다 훨씬 잘 동작한다.
- Randomly initialized network는 매우 안 좋은 성능을 보인다. (당연한 것 아닌가...?)
- An emergent property shared across networks, even across architectures and training signals
Psychophysical similarity Measurements
Two Alternative Foreced Choice (2AFC)
- Goal: Collect large-scale set of human perceptual judgments on distortions
- Procedure: Sample a patch. Distort it twice. Ask human which is smaller.
- Distortions for Train&Val:
(1)Traditional distortions noise, photometric, blur, warps, compression
(2)CNN-Based distortions Randomly generated denoising autoencoders by varying hyperparameters - Distortions for Val only:
(3) Real algorithms Outputs from superresolution, frame interpolation, video deblurring, colorization algorithmsJust Noticeable Differences

JUST NOTICEABLE DIFFERENCES (JND)
- Goal: Validate 2AFC with less “cognitively penetrable” test
- Procedure: Ask human if 2 patches are identical or not
- Evaluation: High correlation (ρ=.928) between 2AFC and JND

Deep Feature Spaces


- Network architectures
- VGG
- cnn base size: 58.9 MB
- 5 conv layers from the VGG network
- Alex
- cnn base size: 9.1 MB
- conv1-conv5
- AlexNet is the fastest, performs the best.
- Squeeze
- extremely lightweight cnn base (2.8 MB)
- similar classification performance to AlexNet
- use first conv layer and some subsequent "fire" modules
- VGG

'DeepLearning' 카테고리의 다른 글
| [Deep Learning] Conv1D에 관하여 (0) | 2020.09.29 |
|---|---|
| [Paper Review] RandAugment: Practical automated data augmentation with a reduced search space (0) | 2020.08.28 |
| Small Batch Size in Deep Learning (0) | 2020.07.23 |